Problem Description

3+1 method
The four dimensional spacetime is split into 3 dimensional hypersurfaces which evolve in time. Breaking spacetime up this way gives us 10 non-linear PDE's to solve:
  • 4 Initial Value Equations (Elliptic)
  • 6 Coupled Evolution Equations (Hyperbolic)
.

Time Evolution
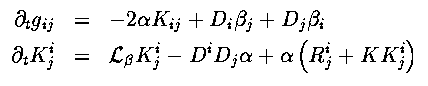
The evolution equations that this code solves are as follows:
NOTE:
In Classical Physics evolutions are dictated by momentum and position variables. Numerical Relativity uses the extrinsic curvature,
to act like the momentum, and the metric to act as the position.